近日,信息工程开元(中国)光电教研室胡晓丹博士在国际光学领域权威期刊《Optics Express》发表了开元网页版中国自由大气层光学湍流特征的研究论文。该研究创新性地利用覆盖全国范围的探空气球数据,结合Thorpe方法,系统绘制了中国自由大气层光学湍流强度的垂直与水平分布特征图。研究成果可直接应用于天文观测选址评估及自由空间光通信系统,为相关领域的工程应用与未来研究提供了重要的科学依据。
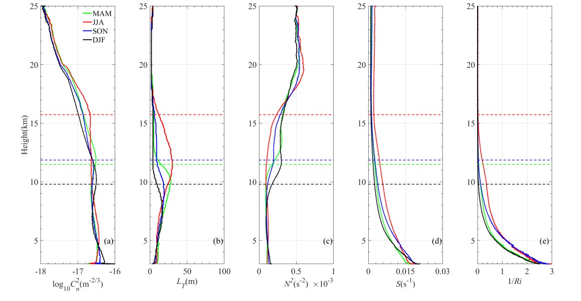
光束在大气中进行长距离传输时,易受光学湍流影响,导致光束漂移、闪烁及抖动等湍流效应,严重制约光电系统的性能表现。因此,光学湍流的分布特性是天文望远镜选点及自适应光学系统设计中必须考量的关键因素。本研究基于Thorpe方法量化分析了中国区域自由大气层的光学湍流特征。研究发现:垂直分布:对流层湍流强度显著强于平流层,且在对流层顶附近存在明显的湍流峰值。水平分布与季节变化:视宁度指标呈现“春夏高、秋冬低”的季节性规律。在对流层顶以下区域,湍流强度表现出鲜明的“南强北弱”地理分布特征。成因分析:对流层内较弱的大气稳定性和较强的风切变是导致湍流活动剧烈的主要原因,当浮力频率趋近于零时,静态不稳定性的增加显著加剧了光学湍流强度;而平流层则因其较高的静态稳定性,维持着相对较弱且分布均匀的光学湍流。
该论文由胡晓丹博士担任第一作者,开元网页版为第一署名单位,中国科开元(中国)安徽光学精密机械研究所为合作单位。
文章链接:https://opg.optica.org/oe/fulltext.cfm?uri=oe-33-14-29471&id=573841



